Standard Deviation Calculator
Please provide numbers separated by commas to calculate the standard deviation, variance, mean, sum, and margin of error.
What Is the Standard Deviation Calculator and Why It Matters
A standard deviation calculator measures the dispersion or spread of a dataset around its mean (average). Standard deviation quantifies how much individual data points typically differ from the average value, providing a single number that captures the variability within a dataset. A low standard deviation indicates data points cluster closely around the mean, while a high standard deviation indicates they are spread out over a wider range.
Standard deviation is arguably the most important measure of variability in statistics. It is foundational to hypothesis testing, confidence intervals, quality control, risk assessment, and virtually every branch of statistical analysis. The calculator automates what would otherwise be a tedious multi-step computation involving squaring deviations, averaging, and taking square roots.
Understanding data variability is as important as understanding averages. Two datasets can have identical means but vastly different standard deviations — an average temperature of 70°F in San Diego (low variability) versus Kansas City (high variability) tells very different stories about what to expect. The standard deviation calculator provides this critical context.
How to Accurately Use the Standard Deviation Calculator for Precise Results
Step-by-Step Guide
- Enter your data: Input the dataset as a list of numbers, separated by commas, spaces, or line breaks.
- Select the type: Choose between population standard deviation (σ) and sample standard deviation (s), depending on whether your data represents the entire population or a sample from it.
- Review results: The calculator displays the standard deviation, variance, mean, count, sum, and often a step-by-step breakdown of the calculation.
Population vs. Sample Standard Deviation
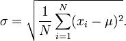
- Population standard deviation (σ): Used when the dataset includes every member of the group being studied. Divides the sum of squared deviations by N (the total count).
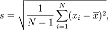
- Sample standard deviation (s): Used when the dataset is a sample drawn from a larger population. Divides the sum of squared deviations by (N − 1), which corrects for the bias in estimating population variability from a sample (Bessel's correction).
Tips for Accuracy
- If unsure whether to use population or sample standard deviation, use sample (N − 1) — it is the more conservative choice and appropriate whenever the data does not represent the entire population.
- Outliers dramatically affect standard deviation. Consider whether extreme values represent real data or measurement errors before including them.
- Standard deviation assumes a meaningful numerical scale. It should not be calculated for ordinal or categorical data.
- For comparison between datasets with different units or scales, use the coefficient of variation (CV = standard deviation ÷ mean) instead.
Real-World Scenarios and Practical Applications
Scenario 1: Manufacturing Quality Control
A factory produces bolts with a target diameter of 10.0 mm. A sample of 10 bolts measures: 9.98, 10.02, 10.01, 9.99, 10.03, 9.97, 10.00, 10.02, 9.98, 10.01 mm. The mean is 10.001 mm and the sample standard deviation is 0.0196 mm. Using the 3-sigma rule, 99.7% of bolts should fall between 9.94 and 10.06 mm. This quality analysis confirms the manufacturing process is well-controlled.
Scenario 2: Investment Risk Assessment
An investor compares two mutual funds over 12 months. Fund A had monthly returns with a standard deviation of 2.1%, while Fund B had a standard deviation of 5.8%. Both funds averaged 8% annual return. Fund B's higher standard deviation indicates significantly more volatility — its returns swung more widely month to month. Risk-averse investors would prefer Fund A despite identical average returns.
Scenario 3: Academic Test Score Analysis
A teacher analyzes exam scores: 72, 85, 90, 68, 95, 78, 82, 88, 75, 91. The mean is 82.4 and the sample standard deviation is 8.9 points. This tells the teacher that most students scored within roughly 9 points of the average. A standard deviation this size relative to the score range suggests moderate variability, indicating a reasonably good distribution of student understanding with some differentiation.
Who Benefits Most from the Standard Deviation Calculator
- Students: Complete statistics homework, understand data distributions, and verify manual calculations.
- Researchers: Quantify experimental variability, determine statistical significance, and report results with proper error metrics.
- Quality control professionals: Monitor manufacturing processes, set tolerance limits, and identify when processes drift out of specification.
- Financial analysts: Measure investment volatility, assess portfolio risk, and compare the risk-return profiles of different assets.
- Data scientists: Characterize datasets, identify outliers, standardize variables, and validate statistical models.
Technical Principles and Mathematical Formulas
Population Standard Deviation
σ = √[Σ(xᵢ − μ)² / N]
- σ = population standard deviation
- xᵢ = each individual value
- μ = population mean
- N = number of values in the population
Sample Standard Deviation
s = √[Σ(xᵢ − x̄)² / (n − 1)]
- s = sample standard deviation
- x̄ = sample mean
- n = number of values in the sample
- (n − 1) = degrees of freedom (Bessel's correction)
Variance
Variance = (Standard Deviation)²
Variance is often easier to work with mathematically, while standard deviation is more interpretable because it is in the same units as the data.
The Empirical Rule (68-95-99.7)
For normally distributed data:
- 68% of data falls within 1 standard deviation of the mean
- 95% falls within 2 standard deviations
- 99.7% falls within 3 standard deviations
Coefficient of Variation
CV = (Standard Deviation / Mean) × 100%
Useful for comparing variability between datasets with different units or scales.
Frequently Asked Questions
What is the difference between standard deviation and variance?
Variance is the average of squared deviations from the mean, while standard deviation is the square root of variance. They measure the same concept (data spread), but standard deviation is expressed in the original units of the data, making it more intuitive to interpret. Variance is expressed in squared units, which is mathematically convenient but harder to interpret directly.
When should I use population vs. sample standard deviation?
Use population standard deviation when your data includes every member of the group you are studying (e.g., test scores of every student in a class). Use sample standard deviation when your data is a subset drawn from a larger group (e.g., a survey of 500 people representing a city of 100,000). When in doubt, use the sample formula.
Can standard deviation be negative?
No. Standard deviation is always zero or positive. It is zero only when all data points are identical (no variation). Since it involves squaring deviations and taking a square root, the result is always non-negative.
What does a standard deviation of zero mean?
A standard deviation of zero means every value in the dataset is exactly the same — there is no variation whatsoever. For example, the dataset {5, 5, 5, 5, 5} has a mean of 5 and a standard deviation of 0.
How do outliers affect standard deviation?
Outliers have a disproportionately large effect on standard deviation because deviations are squared. A single extreme value can dramatically inflate the standard deviation. For datasets with outliers, the interquartile range (IQR) or median absolute deviation (MAD) may be more robust measures of spread.
